• twitter
  • facebook
Cronaca
Comincia da qui!
Non sei ancora registrato?
CREA IL TUO CANALE
Entra in Youmedia
email
password

Non sei registrato? Registrati qui!   Password dimenticata?
Crea il tuo account
Con il tuo canale YouMedia potrai
caricare e gestire i tuoi contributi
email
password
ripeti password

Già registrato? Effettua il login! Password dimenticata?
Recupero password
Inserisci l'email con cui ti sei registrato, ti verranno inviate le istruzioni per il recupero password.
email

Non sei registrato? Registrati qui!

Categorie
  • tutto
  • Politica
  • Cronaca
  • Spettacolo
  • Sport
  • Tecnologia
  • Motori
  • Viaggi
  • Scienze
  • Design
  • Donna
  • Rugby
  • Musica
  • Cucina
  • immagine
  • immagine
  • immagine
  • immagine
  • immagine
  • immagine
  • immagine
  • immagine
  • 6 / 8

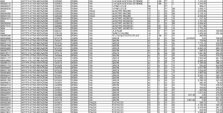
Affittopoli a Roma, la lista degli immobili del Comune

pubblicato il 3 febbraio 2016 alle ore 16:17
Ecco la lista degli immobili in affitto di proprietà del Comune diffusa dal Campidoglio sul sito del dipartimento Patrimonio, Sviluppo e Valorizzazione.
mostra altro

immagine profilo Enrico Tata 25 video • 2.981 foto
2.348.092 visualizzazioni


altro di Enrico Tata

  • Maltempo a Ischia, motorini trascinati via da un fiume d'acqua
    0:17
    Maltempo a Ischia, motorini trascinati via da un fiume d'acqua
    1661 VISUALIZZAZIONI
    Enrico Tata
  • A Roma il treno arcobaleno in onore del Gay Pride
    0:33
    A Roma il treno arcobaleno in onore del Gay Pride
    947 VISUALIZZAZIONI
    Enrico Tata
  • Incendio davanti a Roma Tre, fiamme alte sul Lungotevere
    0:20
    Incendio davanti a Roma Tre, fiamme alte sul Lungotevere
    8825 VISUALIZZAZIONI
    Enrico Tata
  • Negato l'accesso in negozio perché senza mascherina: si vendicano e picchiano a sangue il negoziante
    1:25
    Negato l'accesso in negozio perché senza mascherina: si vendicano e picchiano a sangue il negoziante
    3340 VISUALIZZAZIONI
    Enrico Tata
  • Sgominata la baby gang di viale Marconi, 14 ragazzini denunciati
    1:04
    Sgominata la baby gang di viale Marconi, 14 ragazzini denunciati
    2730 VISUALIZZAZIONI
    Enrico Tata
  • Incendio a Fiumicino, fiamme in una ex pescheria
    0:18
    Incendio a Fiumicino, fiamme in una ex pescheria
    284 VISUALIZZAZIONI
    Enrico Tata
  • Blitz nelle villette dei Casamonica, agenti entrano dalle finestre
    0:54
    Blitz nelle villette dei Casamonica, agenti entrano dalle finestre
    2375 VISUALIZZAZIONI
    Enrico Tata
  • Colleferro, nel luogo dov'è morto Willy fiori e un cartello: "Ciao angelo mio"
    4 foto
    Colleferro, nel luogo dov'è morto Willy fiori e un cartello: "Ciao angelo mio"
    263013 VISUALIZZAZIONI
    Enrico Tata
  • Il 2019 a Roma: dal ferimento di Manuel Bortuzzo all'addio alla Roma di Daniele De Rossi
    38 foto
    Il 2019 a Roma: dal ferimento di Manuel Bortuzzo all'addio alla Roma di Daniele De Rossi
    3012 VISUALIZZAZIONI
    Enrico Tata
  • Roma, cavallo delle botticelle cade in via Condotti
    1:32
    Roma, cavallo delle botticelle cade in via Condotti
    1844 VISUALIZZAZIONI
    Enrico Tata
  • Roma, Sylvester Stallone assaggia il gelato di Giolitti
    0:11
    Roma, Sylvester Stallone assaggia il gelato di Giolitti
    2823 VISUALIZZAZIONI
    Enrico Tata
  • San Pietro, via della Conciliazione invasa dai gabbiani
    9 foto
    San Pietro, via della Conciliazione invasa dai gabbiani
    2000 VISUALIZZAZIONI
    Enrico Tata
  • Roma, i gabbiani invadono via della Conciliazione
    0:16
    Roma, i gabbiani invadono via della Conciliazione
    628 VISUALIZZAZIONI
    Enrico Tata
  • Spelacchio e gli altri: qual è il più bell'albero di Natale d'Europa
    19 foto
    Spelacchio e gli altri: qual è il più bell'albero di Natale d'Europa
    8628 VISUALIZZAZIONI
    Enrico Tata
  • Cinecittà, in fiamme il set di Roma antica degli studios
    4 foto
    Cinecittà, in fiamme il set di Roma antica degli studios
    2415 VISUALIZZAZIONI
    Enrico Tata
  • Roma, autobus Atac in fiamme in pieno centro storico
    0:47
    Roma, autobus Atac in fiamme in pieno centro storico
    7825 VISUALIZZAZIONI
    Enrico Tata
1.240
  1. Supermercati aperti il 1 maggio 2026: la lista dei centri commerciali attivi per la Festa dei Lavoratori
    Supermercati aperti il 1 maggio 2026: la lista dei centri commerciali attivi per la Festa dei Lavoratori Dalla Coop passando per Carrefour e Lidl: la lista dei supermercati che hanno deciso di tenere aperti i propri punti vendita per la Festa dei Lavoratori del 1 maggio 2026.
    Teneva in casa il cadavere della madre da due anni, il Comune di Muggia: "La figlia non era seguita da noi"
    Teneva in casa il cadavere della madre da due anni, il Comune di Muggia: "La figlia non era seguita da noi" Il Comune di Muggia ha precisato che la donna che teneva da anni in casa il corpo della madre non era seguita dai servizi sociali.
  2. Imu 2026, acconto entro il 16 giugno: cambiano le aliquote, le nuove regole su esenzioni e sconti
    Imu 2026, acconto entro il 16 giugno: cambiano le aliquote, le nuove regole su esenzioni e sconti Si avvicina la scadenza per l'acconto Imu, il 16 giugno. A novembre il Mef ha fissato nuovi paletti per l'aggiornamento delle aliquote da parte dei Comuni. Tra le novità il taglio dell'imposta per gli immobili inutilizzati e l'esenzione per quelli resi inagibili da una calamità naturale. Ecco cosa sapere.
    Tassa di soggiorno, sempre più Comuni la applicano: dove si paga di più e quanto incide sui turisti
    Tassa di soggiorno, sempre più Comuni la applicano: dove si paga di più e quanto incide sui turisti La tassa di soggiorno si espande in Italia, coinvolgendo sempre più Comuni e generando un gettito in forte crescita, ormai oltre 1,2 miliardi di euro. Parallelamente aumentano tariffe e durata dell'imposta, con effetti diretti sul costo dei pernottamenti e un dibattito (ancora aperto) sull'uso delle risorse da parte degli enti locali.
  3. Supermercati aperti a Pasqua e Pasquetta 2026: da Coop ed Esselunga a Lidl, la lista completa
    Supermercati aperti a Pasqua e Pasquetta 2026: da Coop ed Esselunga a Lidl, la lista completa Quali sono i supermercati che hanno deciso di tenere i punti vendita aperti per i consumatori anche nei giorni delle festività pasquali di domenica 5 aprile e lunedì 6 aprile. Dalla Coop all’Esselunga passando per Carrefour e Lidl, la lista dei supermercati che resteranno aperti a Pasqua e Pasquetta.
    Catanzaro, un lato della strada ha acqua e luce, l'altro no: il paradosso delle 3 contrade contese tra due Comuni
    Catanzaro, un lato della strada ha acqua e luce, l'altro no: il paradosso delle 3 contrade contese tra due Comuni 150 persone tra Colla, Manche e Bivio Zeta vivono nella comunità di San Pietro Apostolo ma dipendono dal Comune di Gimigliano. I confini irrisolti li tengono in un limbo che aggrava i problemi endemici della provincia di Catanzaro. La denuncia del Comitato dei residenti a Fanpage.it
  4. Centro anziani a rischio chiusura a Enna, in 70 si barricano per ore poi il lieto fine: "Dal Comune ok a restare"
    Centro anziani a rischio chiusura a Enna, in 70 si barricano per ore poi il lieto fine: "Dal Comune ok a restare" Dopo 6 ore di "resistenza" i 70 anziani del centro hanno trovato una mediazione con il comune. Parla l'avvocato: "Si è arrivati ad una soluzione che consente nell'immediato ai soci che risultano iscritti, di godere dello spazio e delle attività".
    Carta d’identità, addio al formato cartaceo dal 3 agosto 2026: le istruzioni per richiedere la CIE al Comune
    Carta d’identità, addio al formato cartaceo dal 3 agosto 2026: le istruzioni per richiedere la CIE al Comune Tutte le carte d'identità cartacee ancora in circolazione, a prescindere dalla data di scadenza che riportano, non saranno più valide a partire dal 3 agosto 2026. Lo prevede una normativa europea del 2019. Entro quel giorno quindi bisogna rivolgersi al proprio Comune per ottenerne una elettronica. Meglio muoversi per tempo, perché saranno in molti ad averne bisogno.
  5. Valditara contestato all'istituto tecnico Galilei di Roma, il ministro allo studente: "Non sei democratico"
    Valditara contestato all'istituto tecnico Galilei di Roma, il ministro allo studente: "Non sei democratico" 609 • di Antonio Izzo
    Caso Cospito, la Procura di Roma chiede l'assoluzione per Delmastro: sentenza il 20 maggio
    Caso Cospito, la Procura di Roma chiede l'assoluzione per Delmastro: sentenza il 20 maggio La procura generale di Roma ha chiesto nel processo d'Appello l'assoluzione per l'ex sottosegretario alla Giustizia di Fdi Andrea Delmastro. In primo grado Delmastro era stato condannato dai giudici dell'ottava sezione penale del Tribunale di Roma a 8 mesi, pena sospesa. La sentenza è attesa per il prossimo 20 maggio.
  6. Gasolio pericoloso a Roma, rischiava di far esplodere le auto: sequestrati 24mila litri
    Gasolio pericoloso a Roma, rischiava di far esplodere le auto: sequestrati 24mila litri 206 • di Alessia Rabbai
    Roma, sequestro da 1 milione di euro al boss del narcotraffico Leandro Bennato: è detenuto al 41 bis
    Roma, sequestro da 1 milione di euro al boss del narcotraffico Leandro Bennato: è detenuto al 41 bis 182 • di Alessia Rabbai
  7. Måneskin, prove di reunion: i quattro di nuovo insieme a Roma per il compleanno di Victoria
    Måneskin, prove di reunion: i quattro di nuovo insieme a Roma per il compleanno di Victoria I Måneskin si riuniscono a Roma per il 26° compleanno di Victoria De Angelis. Dopo i progetti solisti di Damiano, Thomas e Victoria, potrebbe ritornare l'ipotesi di un reunion tour nel 2026.
    Nuoro, incassa per 13 anni la pensione della madre morta: usava il suo conto anche per prenotare hotel e aerei
    Nuoro, incassa per 13 anni la pensione della madre morta: usava il suo conto anche per prenotare hotel e aerei Fingeva che la madre fosse ancora viva per intascare la sua pensione, la Gdf le sequestra 100mila euro e un immobile nel centro di Nuoro: l'accusa è di truffa aggravata
  8. 25 aprile, insulti antisemiti al corteo a Milano: "Saponette mancate". Spari a Roma contro coppia di attivisti Anpi
    25 aprile, insulti antisemiti al corteo a Milano: "Saponette mancate". Spari a Roma contro coppia di attivisti Anpi Le manifestazioni del 25 aprile in occasione della Festa della Liberazione: a Roma l'omaggio alle Fosse Ardeatine e il corteo, a Milano la manifestazione dell'Anpi, piazze per la resistenza anche a Bologna e Firenze.
    Global Sumud Flotilla, la Procura di Roma contesta il reato di tortura: "Chiusi in gabbia e lasciati senz'acqua"
    Global Sumud Flotilla, la Procura di Roma contesta il reato di tortura: "Chiusi in gabbia e lasciati senz'acqua" La Procura di Roma ipotizza anche il reato di tortura nell’inchiesta sulla detenzione degli attivisti della Global Sumud Flotilla. L'attivista a Fanpage: "Non ci hanno concesso di andare in bagno durante la detenzione"
logo fanpage
SEGNALAZIONI APP IPHONE APP ANDROID

Fanpage.it è una testata giornalistica registrata presso il Tribunale di Napoli n. 57 del 26/07/2011.
Ove non espressamente indicato, tutti i diritti di sfruttamento ed utilizzazione economica del materiale fotografico presente sul sito Fanpage.it sono da intendersi di proprietà dei fornitori, LaPresse e Getty Images.
Privacy Policy Cookie Policy Modifica Consenso REDAZIONE
CIAOPEOPLE MEDIA GROUP
)