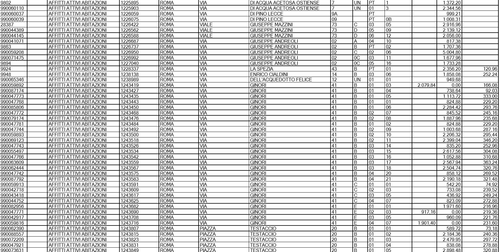
Affittopoli a Roma, la lista degli immobili del Comune

  • 1.240
  • 6 / 8
caricato da
Enrico Tata
pubblicato il 3 febbraio 2016 alle ore 16:05
Ecco la lista degli immobili in affitto di proprietà del Comune diffusa dal Campidoglio sul sito del dipartimento Patrimonio, Sviluppo e Valorizzazione.